Social engagement early in the U.S. COVID-19 crisis: Exploring social support and prosocial behavior between those with and without depression or anxiety in an online sample


Journal article


Adam P. McGuire, Candice L. Hayden, Sheila B. Frankfurt, A. Solomon Kurz, Austen R. Anderson, Binh An N. Howard, Yvette Z. Szabo
Journal of Social and Clinical Psychology, vol. 39(10), 2020, pp. 923-953


PubMed
Cite

Cite

APA   Click to copy
McGuire, A. P., Hayden, C. L., Frankfurt, S. B., Kurz, A. S., Anderson, A. R., Howard, B. A. N., & Szabo, Y. Z. (2020). Social engagement early in the U.S. COVID-19 crisis: Exploring social support and prosocial behavior between those with and without depression or anxiety in an online sample. Journal of Social and Clinical Psychology, 39(10), 923–953. https://doi.org/10.1521/jscp.2020.39.10.923


Chicago/Turabian   Click to copy
McGuire, Adam P., Candice L. Hayden, Sheila B. Frankfurt, A. Solomon Kurz, Austen R. Anderson, Binh An N. Howard, and Yvette Z. Szabo. “Social Engagement Early in the U.S. COVID-19 Crisis: Exploring Social Support and Prosocial Behavior between Those with and without Depression or Anxiety in an Online Sample.” Journal of Social and Clinical Psychology 39, no. 10 (2020): 923–953.


MLA   Click to copy
McGuire, Adam P., et al. “Social Engagement Early in the U.S. COVID-19 Crisis: Exploring Social Support and Prosocial Behavior between Those with and without Depression or Anxiety in an Online Sample.” Journal of Social and Clinical Psychology, vol. 39, no. 10, 2020, pp. 923–53, doi:10.1521/jscp.2020.39.10.923.


BibTeX   Click to copy

@article{adam2020a,
  title = {Social engagement early in the U.S. COVID-19 crisis: Exploring social support and prosocial behavior between those with and without depression or anxiety in an online sample},
  year = {2020},
  issue = {10},
  journal = {Journal of Social and Clinical Psychology},
  pages = {923-953},
  volume = {39},
  doi = {10.1521/jscp.2020.39.10.923},
  author = {McGuire, Adam P. and Hayden, Candice L. and Frankfurt, Sheila B. and Kurz, A. Solomon and Anderson, Austen R. and Howard, Binh An N. and Szabo, Yvette Z.}
}

Abstract

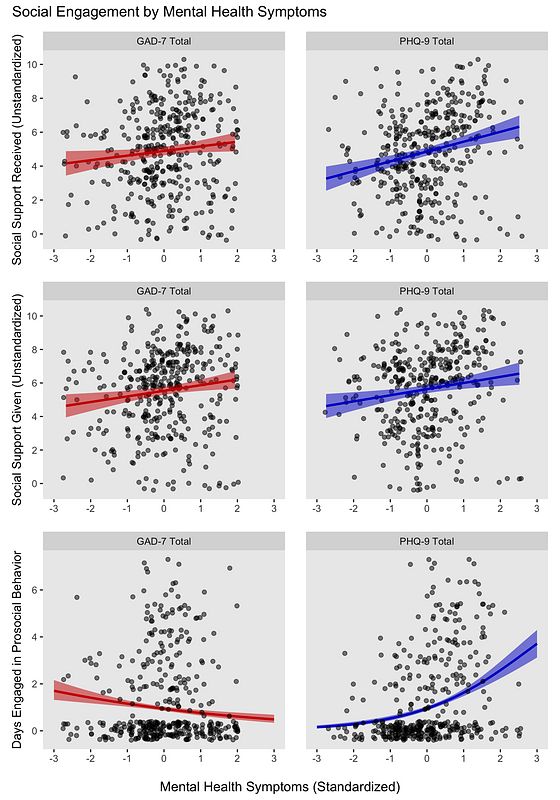
Introduction: Social distancing and sheltering-in-place mitigate the physical health risks of the novel coronavirus (COVID-19); however, there are concerns about the impact on mental health and social engagement. Methods: We used data from a U.S.-based online survey (March 2020) to examine patterns of social support and prosocial behavior, explore differences between people with and without depression or anxiety, and explore correlates of social engagement in both groups, including symptom severity in the clinical group. Results: The clinical group reported greater social engagement. In both groups, social engagement was positively associated with COVID-19-related worry and trait moral elevation; mindfulness was positively associated with all outcomes for the clinical group only. Social interaction frequency had little influence on outcomes. Depressive symptom severity was positively associated with all outcomes, whereas anxiety was negatively associated with prosocial behavior. Discussion: These findings highlight how social engagement was experienced early in the U.S. COVID-19 crisis.

[Picture]
Scatterplot of standardized mental health symptoms across social support received, support given, and days engaged in prosocial behavior. Lines represent coefficients for each predictor without any covariates.