Biopsychosocial correlates and individual differences for eliciting moral elevation in veterans with PTSD


Journal article


Adam P. McGuire, Binh An N. Howard, Christina Burns, Laura Zambrano-Vazquez, Yvette Z. Szabo
Journal of Nervous and Mental Disease, vol. 212(1), 2024, pp. 33-42


Cite

Cite

APA   Click to copy
McGuire, A. P., Howard, B. A. N., Burns, C., Zambrano-Vazquez, L., & Szabo, Y. Z. (2024). Biopsychosocial correlates and individual differences for eliciting moral elevation in veterans with PTSD. Journal of Nervous and Mental Disease, 212(1), 33–42. https://doi.org/10.1097/NMD.0000000000001725


Chicago/Turabian   Click to copy
McGuire, Adam P., Binh An N. Howard, Christina Burns, Laura Zambrano-Vazquez, and Yvette Z. Szabo. “Biopsychosocial Correlates and Individual Differences for Eliciting Moral Elevation in Veterans with PTSD.” Journal of Nervous and Mental Disease 212, no. 1 (2024): 33–42.


MLA   Click to copy
McGuire, Adam P., et al. “Biopsychosocial Correlates and Individual Differences for Eliciting Moral Elevation in Veterans with PTSD.” Journal of Nervous and Mental Disease, vol. 212, no. 1, 2024, pp. 33–42, doi:10.1097/NMD.0000000000001725.


BibTeX   Click to copy

@article{adam2024a,
  title = {Biopsychosocial correlates and individual differences for eliciting moral elevation in veterans with PTSD},
  year = {2024},
  issue = {1},
  journal = {Journal of Nervous and Mental Disease},
  pages = {33-42},
  volume = {212},
  doi = {10.1097/NMD.0000000000001725},
  author = {McGuire, Adam P. and Howard, Binh An N. and Burns, Christina and Zambrano-Vazquez, Laura and Szabo, Yvette Z.}
}

Abstract

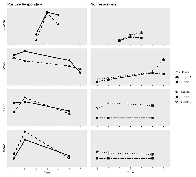
A promising approach to enhancing trauma-focused treatment is moral elevation—feeling inspired by witnessing a virtuous act. This study explored potential links between eliciting elevation and relevant outcomes in a series of case examples. Veterans with probable posttraumatic stress disorder completed experimental tasks including a written trauma narrative exercise and watching elevation-eliciting videos. Participants also completed baseline assessments, repeated measures of trauma-related cognitions, emotions, elevation, and saliva sample collection. Four cases were identified and reviewed: two positive responders (high elevation after videos) and two nonresponders (restricted elevation response). Positive responder cases reported decreased cognitions, emotions, and moral injury distress from after the trauma narrative to after elevation exercises, whereas nonresponders reported minimal to no changes. Positive responders also demonstrated decreases in cortisol, whereas nonresponders demonstrated increases in cortisol. Future work should examine whether elevation contributes to changes in biopsychosocial outcomes and identify individual factors that indicate who might benefit from elevation-based interventions.

[Picture]
Visual comparison of changes in elevation, cortisol, guilt, and shame with four subjects across seven timepoints during the experimental session. The y-axis scale differs for each measure; therefore, this figure primarily represents corresponding decreases and/or increases for measures across time as participants progress through experimental tasks.